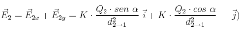
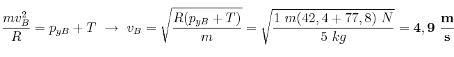
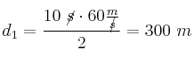
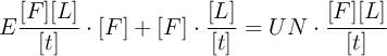
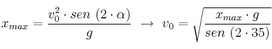
Proponga su ejercicio y se lo resolvemos

, por dani

Si tienes un ejercicio o duda y quieres que lo resolvamos debes proponerlo en el siguiente enlace al foro:

https://foro-dudas.gratis

Si tu enunciado contiene fórmulas, puedes adjuntar una imagen (en formato jpg o png) o un archivo en formato PDF.

Resolvemos ejercicios de Física, Química y Matemáticas.

Resolvemos antes las dudas de los usuarios suscritos
al canal Acción Educación

También puedes contactarnos por Twitter:

@EjerciciosFyQ
@jmcala_profe
@matematicasies

O en Instagram:

EjerciciosFyQ