Calor transferido en la disolución y capacidad calorífica del NaOH

, por F_y_Q

En 40 mL de agua con una temperatura de 22^oC se diluyen 5 g de hidróxido de sodio, lo que incrementa la temperatura del agua en 8^oC. Tomando como densidad del agua 1 g/mL y como calor específico del agua 4,184\ J/g\cdot ^oC, determina:

a) La temperatura final.

b) Tipo de proceso que se ha dado.

c) Calor de dilución.

d) La capacidad calorífica específica del NaOH, utilizando los datos indicados en el ejercicio.

e) La capacidad calorífica molar del NaOH, utilizando los datos indicados en el ejercicio.

P.-S.

a) La temperatura final se obtiene al sumar el incremento de la temperatura a la temperatura final: \bf T_f = (22 + 8)^oC
b) Es una disolución exotérmica.
c)

Q = 40\ \cancel{mL}\cdot \frac{1\ \cancel{g}}{1\ \cancel{mL}}\cdot 4,184\frac{J}{\cancel{g}\cdot \cancel{^oC}}\cdot (30 - 22)\cancel{^oC} = \bf 1\ 339\ J


d) La capacidad calorífica se define como el cociente entre el calor transferido y la variación de temperatura que produce esa transferencia:

C = \frac{Q}{\Delta T} = \frac{1\ 339\ J}{8\ ^oC} = \bf 167,4\ J/^oC


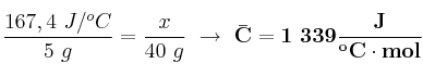
e) Ahora hay que expresar la capacidad calorífica para un mol de sustancia, es decir, 40 g de NaOH:

\frac{167,4\ J/^oC}{5\ g} = \frac{x}{40\ g}\ \to\ \bf \bar{C} = 1\ 339\frac{J}{^oC\cdot mol}