Cálculo de la masa de una muestra de uranio pura de volumen conocido

, por F_y_Q

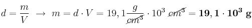
Calcula la masa de una muestra de uranio puro si posee un volumen de 10^3\ cm^3, sabiendo que la densidad del uranio es 19,1\ \textstyle{g\over cm^3}.

P.-S.

A partir de la ecuación de la densidad podemos despejar el valor de la masa y calcularla:

d = \frac{m}{V}\ \to\ m = d\cdot V = 19,1\frac{g}{\cancel{cm^3}}\cdot 10^3\ \cancel{cm^3} = \bf 19,1\cdot 10^3\ g