Fuerza necesaria para mantener en equilibrio un cuerpo sobre un plano inclinado (5296)

, por F_y_Q

Hallar el valor de la fuerza para mantener un pedazo de hielo que pesa 80 kg en equilibrio sobre un plano inclinado de 15 cm de largo por 5 cm de alto.

P.-S.

Lo más aconsejable es hacer un esquema de la situación para entender qué hay que calcular:

(haciendo clic sobre la miniatura lo verás con más detalle)

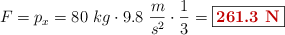
La componente x del peso será la que debe ser compensada por la fuerza para que el hielo esté en equilibrio. Se cumple que p_x  = m\cdot g\cdot sen\ \alpha.

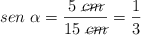
El seno del ángulo se define como el cociente entre el cateto opuesto y la hipotenusa, es decir, los valores dados para el plano inclinado:

sen\ \alpha  = \frac{5\ \cancel{cm}}{15\ \cancel{cm}} = \frac{1}{3}

La fuerza que mantendrá el hielo en equilibrio es:

F = p_x = 80\ kg\cdot 9.8\ \frac{m}{s^2}\cdot \frac{1}{3} = \fbox{\color[RGB]{192,0,0}{\bf 261.3\ N}}