Trabajo de rozamiento en una superficie curva

, por F_y_Q

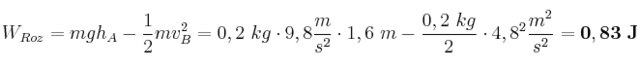
Un paquete de 0,2 kg se suelta desde el reposo desde lo alto de una vía que forma un cuarto de círculo de radio 1,6 m. El paquete se desliza por la vía y llega al punto más bajo con una velocidad de 4,8 m/s. ¿Cuál es el trabajo que realiza la fricción durante el recorrido?

P.-S.

Si aplicamos el teorema de conservación de la energía mecánica, solo tenemos que igualar la energía potencial al inicio a la suma de la energía cinética al final más el trabajo de rozamiento:
E_P(i) = E_C(f) + W_{Roz}

Como conocemos todos los datos, despejamos el trabajo y calculamos ambos valores de energía:
W_{Roz} = mgh_A - \frac{1}{2}mv_B^2 = 0,2\ kg\cdot 9,8\frac{m}{s^2}\cdot 1,6\ m - \frac{0,2\ kg}{2}\cdot 4,8^2\frac{m^2}{s^2} = \bf 0,83\ J
Este trabajo se tendría que considerar negativo si aplicamos nuestro criterio de signos porque es realizado por el sistema, por lo tanto, la respuesta correcta sería:

\bf W_{Roz} = -0,83\ J