Tiempo para que un automóvil duplique su velocidad inicial

, por F_y_Q

Un automóvil se mueve a una velocidad de 17 m/s y puede acelerar, en promedio, 1,5\ m/s^2. ¿Cuánto tiempo necesita para duplicar su velocidad?

P.-S.

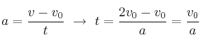
Si duplica su velocidad quiere decir que la velocidad final será 2v_0. Aplicamos la definición de aceleración y despejamos el tiempo:
a = \frac{v - v_0}{t}\ \to\ t = \frac{2v_0 - v_0}{a} = \frac{v_0}{a}
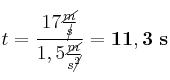
Solo nos queda sustituir:

t = \frac{17\frac{\cancel{m}}{\cancel{s}}}{1,5\frac{\cancel{m}}{s\cancel{^2}}} = \bf 11,3\ s