Masas iniciales de H y O en una reacción en la que se forma agua y sobra oxígeno (5634)

, por F_y_Q

El hidrógeno y el oxígeno se combinan para formar agua en una relación constante de masa de 1.0 g de hidrógeno por 8.0 g de oxígeno. En una experiencia se han formado 90 g de agua y ha quedado un exceso de oxígeno sin reaccionar de 10 g. Calcula las masas iniciales de hidrógeno y oxígeno.

P.-S.

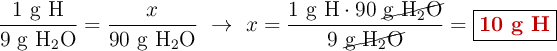
Si la relación entre las masas es de 1 g de H con 8 g de O, se formarán 9 g de agua, aplicando la Ley de Conservación de la Masa. A partir de la relación entre el H y el agua, puedes establecer la masa inicial de H:

\frac{1\ \ce{g\ H}}{9\ \ce{g\ H2O}} = \frac{x}{90\ \ce{g\ H2O}}\ \to\ x = \frac{1\ \ce{g\ H}\cdot 90\ \cancel{\ce{g\ H2O}}}{9\ \cancel{\ce{g\ H2O}}} = \fbox{\color[RGB]{192,0,0}{\textbf{10 g H}}}


La masa incial de O debería ser ocho veces la de H, es decir, 80 g de O, pero el enunciado indica que sobran 10 g de oxígeno tras la reacción. Esto quiere decir que había esos 10 g de O de más al inicio de la reacción, por lo tanto, la masa inicial de O es:

(80 + 10)\ g = \fbox{\color[RGB]{192,0,0}{\textbf{90 g O}}}