Distancia y tiempo de frenado de un móvil sabiendo su aceleración

, por F_y_Q

Un móvil se desplaza a 24 m/s cuando inicia un movimiento uniformemente retardado de aceleración 0,12 m/s^2. ¿Cuánto tardará en detenerse? ¿Qué distancia recorrerá en ese tiempo?

P.-S.

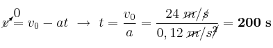
Consideramos la aceleración con signo negativo por ser un movimiento retardado. El tiempo de frenado lo obtenemos cuando la velocidad final sea cero: <br/<

\cancelto{0}{v} = v_0 - at\ \to\ t = \frac{v_0}{a} = \frac{24\ \cancel{m}/\cancel{s}}{0,12\ \cancel{m}/s\cancel{^2}} = \bf 200\ s


La distancia que recorre en ese tiempo se puede obtener de dos modos distintos. Lo hacemos de las dos maneras para que quede más claro.
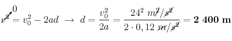
Sin necesidad de considerar el tiempo de frenado:

\cancelto{0}{v^2} = v_0^2 - 2ad\ \to\ d = \frac{v_0^2}{2a} = \frac{24^2\ m\cancel{^2}/\cancel{s^2}}{2\cdot 0,12\ \cancel{m}/\cancel{s^2}} = \bf 2\ 400\ m


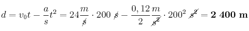
Considerando el tiempo de frenado:

d = v_0t - \frac{a}{s}t^2 = 24\frac{m}{\cancel{s}}\cdot 200\ \cancel{s} - \frac{0,12}{2}\frac{m}{\cancel{s^2}}\cdot 200^2\ \cancel{s^2} = \bf 2\ 400\ m