Análisis dimensional para averiguar las dimensiones de dos magnitudes
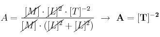
Calcula las dimensiones de A y B, sabiendo que la siguiente ecuación es dimensionalnente correcta:

W = trabajo ; m = Masa ; S = Área
Calcula las dimensiones de A y B, sabiendo que la siguiente ecuación es dimensionalnente correcta:

W = trabajo ; m = Masa ; S = Área