Velocidad tangencial con la que giran las paletas de una hélice (5205)

, por F_y_Q

Una hélice de 5 paletas gira a razón de 360 rpm. Si la longitud de cada paleta es de 0.5 m, halla la velocidad tangencial en los extremos de las paletas.

P.-S.

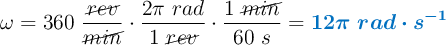
Debes convertir la velocidad angular a rad/s para que las unidades sean homogéneas:

\omega = 360\ \frac{\cancel{rev}}{\cancel{min}}\cdot \frac{2\pi\ rad}{1\ \cancel{rev}}\cdot \frac{1\ \cancel{min}}{60\ s} = \color[RGB]{0,112,192}{\bm{12\pi\ rad\cdot s^{-1}}}

La velocidad tangencial es el producto de la velocidad angular por el radio:

v = \omega \cdot R\ \to\ v = 12\pi\ s^{-1}\cdot 0.5\ m = \fbox{\color[RGB]{192,0,0}{\bm{6\pi\ m\cdot s^{-1}}}}

Palabras clave