Masa de alcohol y de agua en un volumen de licor (5526)

, por F_y_Q

Se tienen 16 0\ cm^3 de un licor con una graduación de 40 ^o. Determina las masas de alcohol y agua que contiene el licor.

Las densidades del alcohol y el agua son 0.78\ \textstyle{g\over cm^3} y 1\ \textstyle{g\over  cm^3}, respectivamente.

P.-S.

La graduación del licor te indica el porcentaje en volumen en alcohol. Puedes calcular los volúmenes de alcohol y agua que forman la mezcla:

160\ \cancel{cm^3\ L}\cdot \frac{40\ cm^3\ alc}{100\ \cancel{cm^3\ L}} = \color[RGB]{0,112,192}{\bm{64\ cm^3\ alc}}

El resto del volumen es de agua:

(160 - 64)\ cm^3 = \color[RGB]{0,112,192}{\bm{96\ cm^3\ agua}}

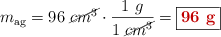
Conviertes los volúmenes en masa por medio de la densidad, pero en forma de factor de conversión:

m_{\text{alc}} = 64\ \cancel{cm^3}\cdot \frac{0.78\ g}{1\ \cancel{cm^3}} = \fbox{\color[RGB]{192,0,0}{\bf 49.9\ g}}


m_{\text{ag}} = 96\ \cancel{cm^3}\cdot \frac{1\ g}{1\ \cancel{cm^3}} = \fbox{\color[RGB]{192,0,0}{\bf 96\ g}}


Descarga el enunciado y la resolución del problema en formato EDICO si lo necesitas.