Diferencia de alcance en un lanzamiento parabólico con y sin rozamiento (5370)

, por F_y_Q

Un objeto es lanzado con velocidad inicial v_0 = 55\ m\cdot s^{-1} y ángulo con la horizontal de \alpha = 75^o. Calcula la diferencia aproximada entre el alcance en el modelo ideal y el alcance en el modelo con resistencia, suponiendo que b = 0.1.

P.-S.

Para hacer el ejercicio puedes suponer que la fuerza de rozamiento es proporcional a la velocidad del objeto, despreciando el empuje.

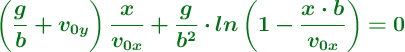
Habrá dos fuerzas sobre el objeto; su peso y una fuerza de rozamiento que es proporcional a la velocidad del objeto y que es tangente a la trayectoria en cada punto. En este caso, el alcance máximo del objeto sigue la fórmula:

\color[RGB]{2,112,20}{\bm{\left(\frac{g}{b} + v_{0y}\right)\frac{x}{v_{0x}} + \frac{g}{b^2}\cdot ln\left(1 - \frac{x\cdot b}{v_{0x}}\right)  = 0}}

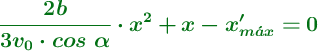
El logaritmo neperiano se debe desarrollar en serie y se obtiene una ecuación de segundo grado para el alcance:

\color[RGB]{2,112,20}{\bm{\frac{2b}{3v_0\cdot cos\ \alpha}\cdot x^2 + x - x^{\prime}_{m\acute{a}x}= 0}}

Puedes obtener el alcance máximo ideal a partir de la ecuación:

x^{\prime}_{m\acute{a}x} = \frac{v_0^2\cdot sen\ (2\alpha)}{g} = \frac{55^2\ \frac{m\cancel{^2}}{\cancel{s^2}}\cdot sen\ 150^o}{9.8\ \frac{\cancel{m}}{\cancel{s^2}}}= \color[RGB]{0,112,192}{\bf 154.34\ m}

Sustituyes los valores en la ecuación de segundo grado:

\frac{2\cdot 0.1}{3\cdot 55\cdot cos\ 75^o}x^2 + x - 154.34 = 0\ \to\ \color[RGB]{2,112,20}{\bm{4.68\cdot 10^{-3}x^2 + x - 154.34= 0}}

Resolviendo la ecuación anterior obtienes un valor para el alcance con rozamiento de \color[RGB]{192,0,0}{\bf 103.9\ m}. La diferencia entre ambos alcances es:

\Delta x = x^{\prime}_{m\acute{a}x} - x_{max} = (154.34 - 103.9)\ m= \fbox{\color[RGB]{192,0,0}{\bf 50.44\ m}}