Longitud de un tren que pasa dos túneles con velocidad constante (5193)

, por F_y_Q

En un viaje un tren mantiene una velocidad constante y logra pasar un túnel de 80 m en 8 s, mientras que en un puente de 30 m empleó 4 s. Halla la longitud del tren en metros.

P.-S.

Como la velocidad es constante en todo el recorrido, puedes escribirla en función de las longitudes de los túneles, más la longitud del tren, y los tiempos de paso en cada caso:

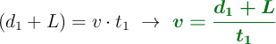
Primer túnel:

(d_1 + L) = v\cdot t_1\ \to\ \color[RGB]{2,112,20}{\bm{v = \frac{d_1 + L}{t_1}}}

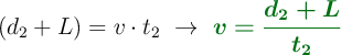
Segundo túnel:

(d_2 + L) = v\cdot t_2\ \to\ \color[RGB]{2,112,20}{\bm{v = \frac{d_2 + L}{t_2}}}

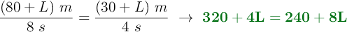
Si igualas ambas velocidades:

\frac{(80 + L)\ m}{8\ s} = \frac{(30 + L)\ m}{4\ s}\ \to\ \color[RGB]{2,112,20}{\bf 320 + 4L = 240 + 8L}

Despejas el valor de la longitud y calculas:

L = \frac{80\ m}{4} = \fbox{\color[RGB]{192,0,0}{\bf 20\ m}}