Átomos de oxígeno presentes en un volumen de óxido de cloro(V)

, por F_y_Q

¿Cuántos átomos de oxígeno hay en 3\ m^3 de óxido de cloro(V), sabiendo que la densidad del óxido es 2,20\ \textstyle{g\over cm^3}?

Masas atómicas: O = 16 ; Cl = 35,5.

P.-S.

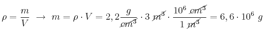
Dado el valor de la densidad del compuesto, podemos calcular la masa de los 3\ m^3, eso sí, cuidando de que las unidades sean homogéneas:
\rho = \frac{m}{V}\ \to\ m = \rho\cdot V = 2,2\frac{g}{\cancel{cm^3}}\cdot 3\ \cancel{m^3}\cdot \frac{10^6\ \cancel{cm^3}}{1\ \cancel{m^3}} = 6,6\cdot 10^6\ g
La masa molecular del compuesto es:
O_5Cl_2:\ 5\cdot 16 + 2\cdot 35,5 = 151\ \textstyle{g\over mol}
Convertimos la masa en mol y usamos el número de Avogadro para calcular las moléculas de compuesto y los átomos de oxígeno. Lo hacemos en un solo paso usando factores de conversión:

6,6\cdot 10^6\ \cancel{g}\ \cancel{O_5Cl_2}\cdot \frac{1\ \cancel{mol}}{151\ \cancel{g}}\cdot \frac{6,022\cdot 10^{23}\ \cancel{mol\acute{e}c}}{1\ \cancel{mol}}\cdot \frac{5\ \acute{a}t\ O}{1\ \cancel{mol\acute{e}c}\ \cancel{O_5Cl_2}} = \bf 1,32\cdot 10^{29}\ \acute{a}t\ O