Masa molecular de un gas a partir de sus datos de masa, P, T y V

, por F_y_Q

¿Cuál es la masa molecular de un gas si 250 mL de ese gas, recogidos sobre agua, a 735 mm Hg y 28^oC, tienen una masa de 25 g? Considera que P_{vap}\ (H_2O) = 28,3\ mm\ Hg a 28^oC.

Dato: R = 0,082\ atm\cdot L\cdot K^{-1}\cdot mol^{-1}

P.-S.

Lo primero que debemos considerar es hacer los cambios de unidades oportunos porque la constante R es la que nos indica que las unidades en las que debemos trabajar. El volumen de gas serán 0,25 L, la temperatura a considerar es 301 K y la presión del gas es la diferencia entre la presión medida y la presión de vapor del agua, pero expresada en atm:
P_{gas} = (735 - 28,3)\ \cancel{mm\ Hg}\cdot \frac{1\ atm}{760\ \cancel{mm\ Hg}} = 0,93\ atm
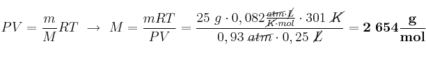
A partir de la ecuación de los gases ideales, y expresando los moles de gas como el cociente entre la masa y la masa molecular, podemos calcular la masa molecular:

PV = \frac{m}{M}RT\ \to\ M = \frac{mRT}{PV} = \frac{25\ g\cdot 0,082\frac{\cancel{atm}\cdot \cancel{L}}{\cancel{K}\cdot mol}\cdot 301\ \cancel{K}}{0,93\ \cancel{atm}\cdot 0,25\ \cancel{L}} = \bf 2\ 654\frac{g}{mol}