Masas y volúmenes de líquidos distintos para hacer una mezcla de densidad conocida

, por F_y_Q

Un tanque de 200\ dm^3 se llena con dos líquidos distintos cuyas densidades son \rho_1 = 1\ 750\ \textstyle{kg\over m^3} y \rho_2 = 780\ \textstyle{kg\over m^3}. Se observa que la densidad resultante es \rho_f = 950\ \textstyle{kg\over m^3}. Calcula:

a) La masa y volumen, expresados en kg y en dm^3 de cada fluido.

b) La masa total de la mezcla.

P.-S.

Las densidades dadas pueden ser expresadas en \textstyle{kg\over dm^3} para que las unidades sean homogéneas. Los valores quedarán como:
\rho_1 = 1,75\ \textstyle{kg\over dm^3}, \rho_2 = 0,78\ \textstyle{kg\over dm^3} y \rho_f = 0,95\ \textstyle{kg\over dm^3}
b) Como conocemos el volumen y la densidad de la mezcla final, podemos calcular la masa de la mezcla:

m_f = \rho_f\cdot V = 0,95\frac{kg}{\cancel{dm^3}}\cdot 200\ \cancel{dm^3} = \bf 190\ kg


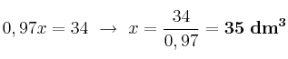
a) Si llamamos x al volumen del primer líquido en la muestra podemos escribir y resolver la ecuación:
1,75x + 0,78(200 - x) = 190\ \to\ 1,75x - 0,78x + 156 = 190

0,97x = 34\ \to\ x = \frac{34}{0,97} = \bf 35\ dm^3


Serán necesarios \bf 35\ dm^3 del primer líquido y \bf 165\ dm^3 del segundo líquido.
Las masas se pueden obtener al conocer la masa de uno de ellos:

m_1 = 1,75\frac{kg}{\cancel{dm^3}}\cdot 35\ \cancel{dm^3} = \bf 61,3\ kg


Las masas que se mezclan son 61,3 kg del primer líquido y 128,7 kg del segundo líquido.