Velocidad y aceleración a partir de la ecuación de la posición en función del tiempo

, por F_y_Q

La posición de una partícula viene dada por la ecuación:

s(t) = 2,0t^3 - 6,0t^2 + 28t - 10

donde s se expresa en metros y t en segundos. Escribe las ecuaciones de la velocidad y la aceleración en cualquier instante.

P.-S.

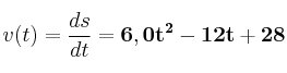
La ecuación de la velocidad se obtiene derivando la ecuación de la posición con respecto al tiempo:

v(t) = \frac{ds}{dt} = \bf 6,0t^2 - 12t + 28


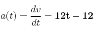
La ecuación de la aceleración la obtenemos derivando la velocidad anterior con respecto al tiempo:

a(t) = \frac{dv}{dt} = \bf 12t - 12