Ampliación: peso específico (5592)

, por F_y_Q

Determina el peso de 20.0\ ft^3 de aluminio, sabiendo que su peso específico es de 2.70\ \textstyle{N\over L} .

P.-S.

El peso específico se define como el cociente entre el peso de un sistema y su volumen. Si despejas el peso:

p_e  = \frac{p}{V}\ \to\ p = p_e\cdot V

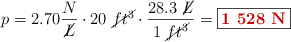
La dificultad que te encuentras es que el volumen viene expresado en un sistema de unidades distinto del empleado en el peso específico. Vamos a aplicar la fórmula anterior y a usar un factor de conversión para cambiar el volumen a litros:

p = 2.70\frac{N}{\cancel{L}}\cdot 20\ \cancel{ft^3}\cdot \frac{28.3\ \cancel{L}}{1\ \cancel{ft^3}} = \fbox{\color[RGB]{192,0,0}{\bf 1\ 528\ N}}