Distancia que recorre un automóvil con aceleración durante 50 s

, por F_y_Q

Calcula la distancia recorrida por un automóvil durante 50 s, sabiendo que su velocidad inicial de 20\ \textstyle{m\over s} y su aceleración es de 1,5\ \textstyle{m\over s^2}.

P.-S.

Como el automóvil lleva un movimiento uniformemente acelerado la ecuación que nos permite calcular la distancia es:
d = v_0t + \frac{1}{2}at^2
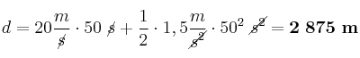
Solo tenemos que sustituir los datos del enunciado para hacer el cálculo:

d = 20\frac{m}{\cancel{s}}\cdot 50\ \cancel{s} + \frac{1}{2}\cdot 1,5\frac{m}{\cancel{s^2}}\cdot 50^2\ \cancel{s^2} = \bf 2\ 875\ m