Normalidad final de una disolución tras su dilución

, por F_y_Q

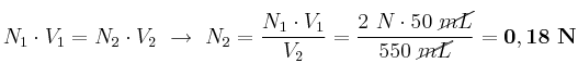
Se tienen 50 mL de solución 2 N de un ácido y se agregan 500 mL de agua. ¿Cuál es la nueva concentración de la solución diluida?

P.-S.

Si suponemos que los volúmenes son aditivos, lo único que varía en la solución es el volumen final de la misma, ya que el soluto sigue siendo el mismo, por lo que el producto de la concentración normal por el volumen ha de ser igual en ambos casos:

N_1\cdot V_1 = N_2\cdot V_2\ \to\ N_2 = \frac{N_1\cdot V_1}{V_2} = \frac{2\ N\cdot 50\ \cancel{mL}}{550\ \cancel{mL}} = \bf 0,18\ N