Velocidad lineal y angular de un objeto que gira (5809)

, por F_y_Q

Hallar la velocidad angular y lineal con la que gira un objeto de 120 g si la fuerza a la que está sometido es de 27 N, siendo el radio de giro de 0.89 m.

P.-S.

La fuerza a la que está sometido es la fuerza centrípeta, que es el producto de la aceleración centrípeta y su masa:

\color[RGB]{2,112,20}{\bm{F_{ct} = m \cdot a_{ct}}}

Como la aceleración centrípeta se puede escribir en función de la velocidad (a_{ct} = \textstyle{v^2 \over R}), reescribes la ecuación:


F_{ct} = m\cdot \frac{v^2}{R}\ \to\ v = \sqrt{\frac{F\cdot R}{m}} = \sqrt{\frac{27\ N\cdot 0.89\ m}{0.12\ kg}} = \fbox{\color[RGB]{192,0,0}{\bm{14.15\ \frac{m}{s}}}}


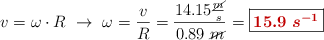
La velocidad angular la puedes escribir en función de la lineal y el radio:

v = \omega\cdot R\ \to\ \omega = \frac{v}{R} = \frac{14.15\frac{\cancel{m}}{s}}{0.89\ \cancel{m}} = \fbox{\color[RGB]{192,0,0}{\bm{15.9\ s^{-1}}}}


Descarga el enunciado y la resolución del problema en formato EDICO si lo necesitas.

Palabras clave