Velocidad final de un vehículo sabiendo el tiempo y el espacio que recorre mientras acelera

, por F_y_Q

A partir del esquema siguiente, calcula la velocidad final del vehículo:

P.-S.

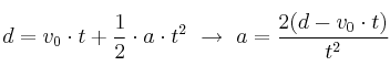
La aceleración del vehículo es:
d = v_0\cdot t + \frac{1}{2}\cdot a\cdot t^2\ \to\ a = \frac{2(d - v_0\cdot t)}{t^2}
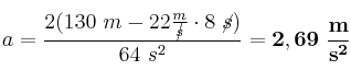
Calculamos la aceleración:
a = \frac{2(130\ m - 22\frac{m}{\cancel{s}}\cdot 8\ \cancel{s})}{64\ s^2} = \bf 2,69\ \frac{m}{s^2}
Con este valor de la aceleración ya podemos calcular la velocidad final:

v = v_0 + at\ \to\ v = 22\ \frac{m}{s} + 2,69\ \frac{m}{s\cancel{^2}}\cdot 8\ \cancel{s} = \bf 43,5\ \frac{m}{s}