Porcentaje en masa de una mezcla de dos disoluciones de ácido

, por F_y_Q

Una solución acuosa de H_2SO_4 al 80\% en peso ocupa \textstyle{1\over 3} del volumen de un recipiente y los \textstyle{2\over 5} del recipiente los ocupa otra solución del mismo ácido al 90\% en peso. La relación de densidades entre la segunda y la primera solución es 21/20. Determina el porcentaje en peso de ácido en la solución resultante.

P.-S.

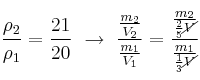
A partir de la relación de las densidades podemos establecer la relación entre las masas de cada solución:
\frac{\rho_2}{\rho_1} = \frac{21}{20}\ \to\ \frac{\frac{m_2}{V_2}}{\frac{m_1}{V_1}} = \frac{\frac{m_2}{\frac{2}{5}\cancel{V}}}{\frac{m_1}{\frac{1}{3}\cancel{V}}}
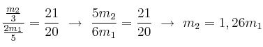
\frac{\frac{m_2}{3}}{\frac{2m_1}{5}} = \frac{21}{20}\ \to\ \frac{5m_2}{6m_1} = \frac{21}{20}\ \to\ m_2 = 1,26m_1
La masa total de la suma de ambas soluciones será m_T = 2,26m_1
A partir de este dato podemos escribir las masas de ácido (soluto) de cada solución en función de la masa de cada solución:
m_{S_1} = 0,8\cdot m_1
m_{S_2} = 0,9\cdot m_2 = 0,9\cdot 1,26\cdot m_1 = 1,134\cdot m_1
La masa total de soluto será la suma de ambas masas: m_{S_T} = 1,934\cdot m_1
Ahora podemos calcular el porcentaje en masa de la solución total:

\% = \frac{m_{S_T}}{m_T}\cdot 100 = \frac{1,934\ \cancel{m_1}}{2,26\ \cancel{m_1}}\cdot 100 = \bf 85,6\%