Comparar la densidad de dos líquidos a partir de los datos de volumen y masa (5669)

, por F_y_Q

Si 1\ cm^3 de agua tiene una masa de 1 g y 10\ cm^3 de alcohol tiene una masa de 8 g, ¿cuál de los dos líquidos tiene mayor densidad? Explica tu respuesta.

P.-S.

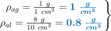
Una manera de averiguar el que tiene mayor densidad, explicando el proceso, es calcular la densidad de cada líquido. Para ello, divides la masa de cada uno por su volumen:

\left \rho_{ag} = \frac{1\ g}{1\ cm^3} = {\color[RGB]{0,112,192}{\bm{1\ \frac{g}{cm^3}}}} \atop \rho_{al} = \frac{8\ g}{10\ cm^3} = {\color[RGB]{0,112,192}{\bm{0.8\ \frac{g}{cm^3}}}}\right \}

Puedes concluir que el agua tiene mayor densidad que el alcohol a la vista de los resultados.