Distancia que recorre un automóvil antes de detenerse

, por F_y_Q

Un automóvil, que se está moviendo con una velocidad de 15 m/s, frena bruscamente y las llantas dejan de girar y patinan sobre el pavimento. Se sabe que el coeficiente de rozamiento cinético es 0,3. Calcula la distancia que recorre el automóvil antes de detenerse.

P.-S.

Vamos a aplicar el Teorema de la Energía Cinética para resolver el ejercicio. La variación de la energía cinética que experimenta el automóvil tiene que ser igual al trabajo que realiza la fuerza de rozamiento:
\Delta E_C = W_R\ \to\ \frac{1}{2}m\left(\cancelto{0}{v^2} - v_0^2\right) = F_R\cdot d\cos 180^o\ \to\ \frac{-v_0^2\cdot \cancel{m}}{2} = -\mu\cdot \cancel{m}\cdot g
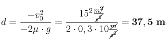
Si despejamos el valor de la distancia y sustituimos:

d = \frac{-v_0^2}{-2\mu\cdot g} = \frac{15^2\frac{m\cancel{^2}}{\cancel{s^2}}}{2\cdot 0,3\cdot 10\frac{\cancel{m}}{\cancel{s^2}}} = \bf 37,5\ m