Masas de agua y mercurio a partir de sus densidades y volúmenes
Un vaso de precipitados tiene una masa de 100 gramos. ¿Cuál será su masa total si echamos
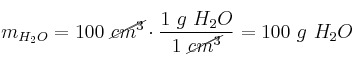
de agua? ¿Y
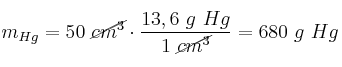
de mercurio?
Datos:
; 
Un vaso de precipitados tiene una masa de 100 gramos. ¿Cuál será su masa total si echamos
de agua? ¿Y
de mercurio?
Datos:
; 