Volumen final de un globo que se deja al sol

, por F_y_Q

¿Cuál será el volumen final de 10 litros de aire a 12^oC contenidos en un globo, si se expone al sol y la temperatura llega a 50^oC?

P.-S.

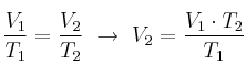
La presión permanece constante porque el globo es flexible por lo que aplicaremos la Ley de Charles para hacer el ejercicio.
\frac{V_1}{T_1} = \frac{V_2}{T_2}\ \to\ V_2 = \frac{V_1\cdot T_2}{T_1}
Las temperaturas deben ser expresadas en escala absoluta:
T_1 = (12 + 273)\ \K = 285\ K
T_2 = (50 + 273)\ \K = 323\ K
Sustituimos y calculamos el volumen final:

V_2 = \frac{10\ L\cdot 323\ \cancel{K}}{285\ \cancel{K}} = \bf 11,33\ L