Altura máxima y tiempo de vuelo a partir de la ecuación de un lanzamiento oblicuo

, por F_y_Q

Gustavo dispara un proyectil cuya altura en función del tiempo t está dada por la expresión cuadrática y(t) = −t^2 + 53t - 1:

a) ¿Cuál es la altura máxima que alcanza dicho proyectil?

b) ¿En qué instante vuelve al suelo?

P.-S.

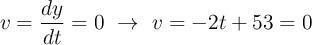
a) La velocidad se obtiene derivando la ecuación de la posición del proyectil. Si hacemos igual a cero la derivada estaremos en el punto de mayor altura porque la velocidad del proyectil se hace cero cuando deja de ascender y comienza a descender:
v = \frac{dy}{dt} = 0\ \to\ v = -2t + 53 = 0
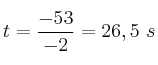
El tiempo transcurrido hasta que la velocidad se hace cero es:
t = \frac{-53}{-2} = 26,5\ s
Sustituimos el tiempo calculado en la ecuación de la altura:

y(26,5) = -26,5^2 + 53\cdot 26,5 - 1 = \bf 701,25\ m


b) Cuando esté en el suelo la posición cerá cero. Resolvemos la ecuación de segundo grado y obtenemos dos valores:

-t^2 + 53t -1 = 0\ \to\ \bf t = 52,9\ s


El tiempo que damos por bueno es el que tiene significado físico de los dos.

Palabras clave