Velocidad de un auto y tiempo que tarda en recorrer 20 metros (5510)

, por F_y_Q

Un auto que experimenta un MRU recorre 20 m en «t» segundos. Si su rapidez se reduce a la mitad, recorrería 8 m menos en 6 s. Determina «t» y la rapidez del auto, en s y m/s, respectivamente.

P.-S.

Puedes calcular cuál es la mitad de la velocidad del auto a partir del dato de los 6 s y teniendo en cuenta que recorre (20 - 8) = 12 m:

\frac{v}{2} = \frac{12\ m}{6\ s}\ \to\ v = \frac{24}{6}\ \frac{m}{s} = \fbox{\color[RGB]{192,0,0}{\bm{4\ \frac{m}{s}}}}


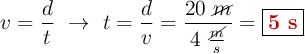
Conociendo la velocidad, puedes calcular el tiempo que tarda en recorrer los 20 m:

v = \frac{d}{t}\ \to\ t = \frac{d}{v} = \frac{20\ \cancel{m}}{4\ \frac{\cancel{m}}{s}} = \fbox{\color[RGB]{192,0,0}{\bf 5\ s}}