Cambio de unidad del coeficiente de dilatación del acero

, por F_y_Q

El coeficiente de dilatación lineal del acero es 12\cdot 10^{-6}\ ^oC^{-1}. ¿Cuál es su valor en ^oF^{-1}?

P.-S.

La fórmula con la que podemos hacer el cambio de escala centígrada a escala Farenheit es: ^oF = 32 + 1,8^oC. Vamos a suponer un grado centígrado para hacer la conversión:
^oF = 32 + 1,8\cdot 1^oC = 33,8^oF
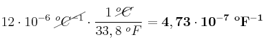
Ahora hacemos el cambio solicitado:

12\cdot 10^{-6}\ \cancel{^oC^{-1}}\cdot \frac{1\ \cancel{^oC}}{33,8\ ^oF} = \bf 4,73\cdot 10^{-7}\ ^oF^{-1}