Molaridad y porcentaje en masa/volumen de una solución

, por F_y_Q

Calcula la molaridad y el \% (m/V) de una solución, cuyo soluto tiene una masa molar de 74 g/mol y siendo su densidad 1,05 g/mL, formada al disolver 12 g de soluto en 200 g de disolvente.

P.-S.

En primer lugar debemos calcular el volumen de la solución para poder obtener los modos de concentración que nos piden. Conocemos la masa de la solución porque será la suma de las masas de soluto y disolvente:
m_D = m_S + m_d\ \to\ m_D = (12 + 200)\ g\ = 212\ g
A partir del dato de la densida de la solución:
212\ \cancel{g}\ D\cdot \frac{1\ mL}{1,05\ \cancel{g}} = 202\ mL\ D
Podemos calcular el porcentaje de la solución:

\%\ (m/V) = \frac{12\ g\ S}{202\ mL\ D}\cdot 100 = \bf 5,94\%


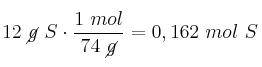
Calculamos los moles de soluto:
12\ \cancel{g}\ S\cdot \frac{1\ mol}{74\ \cancel{g}} = 0,162\ mol\ S
Ahora podemos calcular la molaridad de la disolución:

M = \frac{0,162\ mol}{0,202\ L\ D} = \bf 0,8\ \frac{mol}{L}