Densidades de mezclas a partir de los porcentajes de sus componentes (5580)

, por F_y_Q

Se tiene una mezcla homogénea. El componente A tiene una densidad de 1\ 260\ \textstyle{kg\over m^3} y el componente B tiene una densidad 1\ 000\ \textstyle{kg\over m^3}.

a) ¿En qué rango debería de estar la densidad de la mezcla en cualquier proporción de los componentes?

b) Suponiendo una mezcla ideal, ¿cuál sería la densidad de la mezcla en una concentración del 30\ \% en volumen de B, si consideramos 1\  m^3 de mezcla?

c) ¿Cuál sería la densidad de la mezcla ideal para una concentración del 45\ \% en masa de B, para un kilogramo de mezcla?

P.-S.

a) El rango de la densidad de la mezcla debe variar entre los valores de las densidades de las sustancias puras por lo que puedes concluir que su rango es:

\fbox{\color[RGB]{192,0,0}{\bf R: (1\ 000, 1\ 260)\ \textstyle{kg\over m^3}}}


b) Suponiendo 1\  m^3 de mezcla, y considerando el porcentaje en volumen, habría 0.3\ m^3 de B y 0.7\ m^3 de A. Primero calculas las masas de B y A para poder hacer la densidad de la mezcla:

m_B = 0.3\ \cancel{m^3}\cdot \frac{1\ 260\ kg}{1\ \cancel{m^3}} = \color[RGB]{0,112,192}{\bf 378\ kg}

m_A = 0.7\ \cancel{m^3}\cdot \frac{1\ 000\ kg}{1\ \cancel{m^3}} = \color[RGB]{0,112,192}{\bf 700\ kg}

La masa total son 1 078 kg por lo que la densidad de la mezcla será:

\rho_{M_1} = \frac{1\ 078\ kg}{1\ m^3} = \fbox{\color[RGB]{192,0,0}{\bm{1\ 078\ \frac{kg}{m^3}}}}


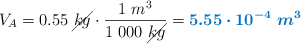
c) Ahora consideras 1 kg de mezcla, de los que 0.445 kg serán de B y 0.55 kg serán de A. Calculas el volumen de cada uno para saber el volumen de la mezcla:

V_B = 0.45\ \cancel{kg}\cdot \frac{1\ m^3}{1\ 260\ \cancel{kg}} = \color[RGB]{0,112,192}{\bm{3.57\cdot 10^{-4}\ m^3}}

V_A = 0.55\ \cancel{kg}\cdot \frac{1\ m^3}{1\ 000\ \cancel{kg}} = \color[RGB]{0,112,192}{\bm{5.55\cdot 10^{-4}\ m^3}}

El volumen total, suponiendo que es una disolución ideal, sería 9.07\cdot 10^{-4}\ m^3. Ya puedes calcular la densidad:

\rho_{M_2} = \frac{1\ kg}{9.07\cdot 10^{-4}\ m^3} = \fbox{\color[RGB]{192,0,0}{\bm{1\ 102\ \frac{kg}{m^3}}}}