Dirección de la fuerza magnética a la que está sometida una carga (5189)

, por F_y_Q

Cada uno de los puntos indicados en las esquinas del cubo de la imagen representa una carga positiva q que se mueve con una velocidad de magnitud v en la dirección indicada. La región descrita está en el seno de un campo magnético \vec  B, paralelo al eje OX y dirigido hacia la derecha. ¿Cuáles de las cargas experimentan una fuerza debido a \vec  B? ¿Cuál es la dirección de la fuerza magnética en cada carga?

P.-S.

La fuerza magnética sigue la expresión:

\color[RGB]{2,112,20}{\bm{\vec{F}_M  =q\cdot \vec v \times \vec{B}}}

Si escribes el módulo de la fuerza magnética, y dado que es un producto vectorial de dos vectores, tienes:

\color[RGB]{2,112,20}{\bm{F_m =q\cdot v\cdot B\cdot sen\ \alpha}}

Cuando \vec  v y \vec  B tienen la misma dirección la fuerza magnética es nula, por lo que la única carga que no experimentará ninguna fuerza magnética es c. Las cargas a, b, d y e sí que experimentan fuerza magnética.
La dirección y sentido de la fuerza magnética en estos casos la puedes obtener de manera cómoda si haces los oportunos determinantes, dando el valor unidad cada una de las direcciones de los vectores \vec v:

Para la carga a:

\vec F_M = \left| \begin{array}{ccc} \vec i & \vec j & \vec k \\ 0 & 1 & 0 \\ 1 & 0 & 0 \end{array} \right| =\fbox{\color[RGB]{192,0,0}{\bm{-\vec k}}}


Para la carga b:

\vec F_M = \left| \begin{array}{ccc} \vec i & \vec j & \vec k \\ 0 & 0 & 1 \\ 1 & 0 & 0 \end{array} \right| =\fbox{\color[RGB]{192,0,0}{\bm{\vec j}}}


Para la carga d:

\vec F_M = \left| \begin{array}{ccc} \vec i & \vec j & \vec k \\ 1 & 0 & -1 \\ 1 & 0 & 0 \end{array} \right| =\fbox{\color[RGB]{192,0,0}{\bm{-\vec j}}}


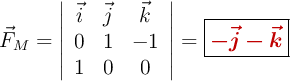
Para la carga e:

\vec F_M = \left| \begin{array}{ccc} \vec i & \vec j & \vec k \\ 0 & 1 & -1 \\ 1 & 0 & 0 \end{array} \right| = \fbox{\color[RGB]{192,0,0}{\bm{-\vec j - \vec k}}}