Moles y átomos de cada metal en una aleación

, por F_y_Q

Un estudiante de décimo curso necesita determinar el número de átomos y moles de cada elemento que se requieren para preparar 3 kg de una aleación que contiene hierro y cinc, en la que las 3/5 partes son de cinc y el resto de hierro. ¿Podrías ayudarlo?

Masas atómicas: Fe = 56 ; Zn = 65,4.

P.-S.

Para saber qué masa de cada metal es necesaria para la aleación aplicamos la proporción entre ambos metales:
3\ \cancel{kg\ mezcla}\cdot \frac{3\ kg\ Zn}{5\ \cancel{kg\ mezcla}} = 1,8\ kg\ Zn
Nuestra aleación debe estar formada por 1 800 g de Zn y 1 200 de Fe. Calculamos ahora los moles y átomos de cada elemento.
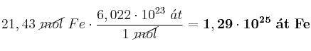
Moles y átomos de Fe:
1\ 200\ \cancel{g}\ Fe\cdot \frac{1\ mol}{56\ \cancel{g}} = \bf 21,43\ mol\ Fe
21,43\ \cancel{mol}\ Fe\cdot \frac{6,022\cdot 10^{23}\ \acute{a}t}{1\ \cancel{mol}} = \bf 1,29\cdot 10^{25}\ \acute{a}t\ Fe
Moles y átomos de Zn:
1\ 800\ \cancel{g}\ Zn\cdot \frac{1\ mol}{65,4\ \cancel{g}} = \bf 27,52\ mol\ Zn
27,52\ \cancel{mol}\ Zn\cdot \frac{6,022\cdot 10^{23}\ \acute{a}t}{1\ \cancel{mol}} = \bf 1,66\cdot 10^{25}\ \acute{a}t\ Zn