Trabajo necesario para poner en marcha un tiovivo (5326)

, por F_y_Q

Un tiovivo consiste en cuatro asientos de 5 kg de masa cada uno, conectados a un eje vertical con radios de poca masa. Los asientos son equidistantes, y quedan en un círculo de 1.4 m de radio que giran alrededor del eje vertical. Un niño de 15 kg de masa se sienta en uno de los asientos y su amigo empuja el tiovivo para acelerarlo desde el reposo hasta 0.4 rps. ¿Cuánto trabajo efectúa el amigo?

P.-S.

El trabajo que tiene que realizar el amigo será igual a la variación de la energía cinética que experimenta el tiovivo. Partiendo del reposo, la variación de la energía cinética será la energía cinética cuando se mueve con la velocidad del enunciado.

La masa del sistema es la suma de las masas de los asientos y la masa del niño que se sienta, es decir:

m_T = (5\cdot 4 + 15)\ kg = \color[RGB]{0,112,192}{\bf 35\ kg}

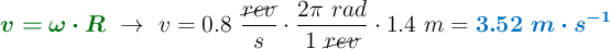
La velocidad con la que se mueve la obtienes a partir de la velocidad angular y del radio:

{\color[RGB]{2,112,20}{\bm{v = \omega\cdot R}}}\ \to\ v = 0.8\ \frac{\cancel{rev}}{s}\cdot \frac{2\pi\ rad}{1\ \cancel{rev}}\cdot 1.4\ m = \color[RGB]{0,112,192}{\bm{3.52\ m\cdot s^{-1}}}

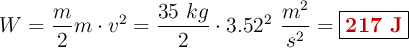
El trabajo será:

W = \frac{m}{2}m\cdot v^2 = \frac{35\ kg}{2}\cdot 3.52^2\ \frac{m^2}{s^2} = \fbox{\color[RGB]{192,0,0}{\bf 217\ J}}