Masa de agua pura en un recipiente de 500 mL lleno (5579)

, por F_y_Q

Un recipiente de 500 mL se llena de agua pura. ¿Cuál es la masa de agua en el recipiente si la densidad del agua pura es 1\ g\cdot mL^{-1}?

P.-S.

Como conoces la densidad del agua pura solo tienes que usar la fórmula de la densidad para despejar el valor de la masa:

\rho = \frac{m}{V}\ \to\ \color[RGB]{2,112,20}{\bm{m = V\cdot \rho}}

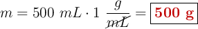
Sustituyes los datos del enunciado y calculas:

m = 500\ \cance{mL}\cdot 1\ \frac{g}{\cancel{mL}} = \fbox{\color[RGB]{192,0,0}{\bf 500\ g}}