Ordenar volúmenes de líquidos por el número de moles de cada uno (5572)

, por F_y_Q

Se tienen los siguientes líquidos: 25.0 mL de \ce{H2O}, 42.0 mL de \ce{C2H6O} y 12.5 mL de \ce{C3H8O3}. Ordénalos, de forma decreciente a los moles de cada sustancia.

Densidades: \ce{H2O} = 1.0\ \textstyle{g\over mL} , \ce{C2H6O} = 0.789\ \textstyle{g\over mL} y \ce{C3H8O3} = 1.26\ \textstyle{g\over mL}.

Masas atómicas: H = 1 ; C = 12 ; O = 16.

P.-S.

En primer lugar vas a calcular las masas moleculares de cada sustancia:

\ce{H2O}:\ 2\cdot 1 + 1\cdot 16 = \color[RGB]{0,112,192}{\bf 18\ \textstyle{g\over mol}}
\ce{C2H6O}:\ 2\cdot 12 + 6\cdot 1 + 1\cdot 16 = \color[RGB]{0,112,192}{\bf 46\ \textstyle{g\over mol}}
\ce{C3H8O3}:\ 3\cdot 12 + 8\cdot 1 + 3\cdot 16 = \color[RGB]{0,112,192}{\bf 92\ \textstyle{g\over mol}}

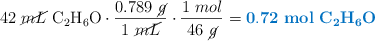
Conviertes el volumen de cada sustancia en masa, por medio de la densidad, y luego en mol, usando la masa molecular de cada una. Lo haces usando dos factores de conversión:

25\ \cancel{mL}\ \ce{H2O}\cdot \frac{1\ \cancel{g}}{1\ \cancel{mL}}\cdot \frac{1\ mol}{18\ \cancel{g}} = \color[RGB]{0,112,192}{\bf 1.39\ mol\ \textbf{\ce{H2O}}
42\ \cancel{mL}\ \ce{C2H6O}\cdot \frac{0.789\ \cancel{g}}{1\ \cancel{mL}}\cdot \frac{1\ mol}{46\ \cancel{g}} = \color[RGB]{0,112,192}{\bf 0.72\ mol\ \textbf{\ce{C2H6O}}
12.5\ \cancel{mL}\ \ce{C3H8O3}\cdot \frac{1.26\ \cancel{g}}{1\ \cancel{mL}}\cdot \frac{1\ mol}{92\ \cancel{g}} = \color[RGB]{0,112,192}{\bf 0.17\ mol\ \textbf{\ce{C3H8O3}}

El orden decreciente pedido es:

\fbox{\color[RGB]{192,0,0}{\bm{n_{\ce{H2O}} > n_{\ce{C2H6O}} > n_{\ce{C3H8O3}}}}}


Descarga el enunciado y la resolución del problema en formato EDICO si lo necesitas.