Energía para calentar hielo hasta una temperatura dada 0001
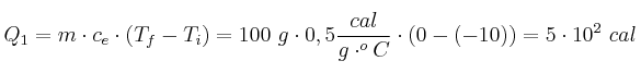
Calcula la energía necesaria para elevar la tempertura de 100 g de hielo desde
hasta
.
Datos:
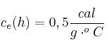
;
; 
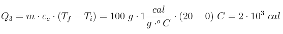
Calcula la energía necesaria para elevar la tempertura de 100 g de hielo desde
hasta
.
Datos:
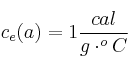
;
; 