Volumen final de un gas al variar P, T y V

, por F_y_Q

Una muestra de 370\ cm^3 de oxígeno se recogió sobre agua a 15^oC y una presión barométrica de 0,992 atm. ¿Qué volumen ocuparía esta muestra seca en condiciones normales de P y T?

Datos: P_{vap}(H_2O) = 12,79\ mm\ Hg\ (a\ 15^oC)

P.-S.

Para saber la presión del oxígeno seco se obtiene al hacer la diferencia entre la presión barométrica y la presión de vapor del agua a la temperatura del sistema:
P_1 = 0,992\ atm - 12,79\ \cancel{mm\ Hg}\cdot \frac{1\ atm}{760\ \cancel{mm\ Hg}} = 0,975\ atm
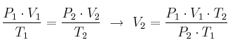
Aplicamos la ecuación de estado de los gases y despejamos el valor del volumen final:
\frac{P_1\cdot V_1}{T_1} = \frac{P_2\cdot V_2}{T_2}\ \to\ V_2 = \frac{P_1\cdot V_1\cdot T_2}{P_2\cdot T_1}
La temperatura ha de estar expresada en escala absoluta:

V_2 = \frac{0,975\ \cancel{atm}\cdot 370\ cm^3\cdot 273\ \cancel{K}}{1\ \cancel{atm}\cdot 288\ \cancel{K}} = \bf 342\ cm^3