pH final al añadir HCl a una disolución amortiguadora (5432)

, por F_y_Q

Una solución amortiguadora contiene ácido acético 0.1 M y acetato de sodio 0.1 M. Calcula el pH final cuando se le añaden 10 mL de HCl 0.1 N a 90 mL de la solución amortiguadora. El \ce{pK_a} para el ácido acético es 4.75.

P.-S.

Una disolución amortiguadora está formada por disoluciones concentradas de un ácido (o base débil) y su especie conjugada. Son usadas para mantener el pH constante en un medio cuando se agregan pequeñas cantidades de ácido o base y su funcionamiento se basa en que en el equilibrio coexisten una especie y su conjugado. La ecuación que vas a usar para calcular el pH final al añadir el ácido clorhídrico es:

\color[RGB]{2,112,20}{\bm{pH = pK_a + log\ \left(\frac{[base]}{[\acute{a}cido]}\right)}}

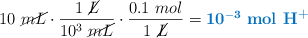
Calculas los moles de protones que añades al tampón:

10\ \cancel{mL}\cdot \frac{1\ \cancel{L}}{10^3\ \cancel{mL}}\cdot \frac{0.1\ mol}{1\ \cancel{L}} = \color[RGB]{0,112,192}{\bf 10^{-3}\ \textbf{\ce{mol\ H^+}}}

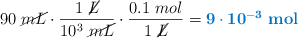
Ahora calculas los moles de cada especie que contiene la disolución reguladora:

90\ \cancel{mL}\cdot \frac{1\ \cancel{L}}{10^3\ \cancel{mL}}\cdot \frac{0.1\ mol}{1\ \cancel{L}} = \color[RGB]{0,112,192}{\bf 9\cdot 10^{-3}\ \textbf{mol}}

El volumen total del sistema es (10 + 90) mL = 100 mL = 0.1 L.

En el equilibrio, el ácido añadido reacciona con la base y reduce la concentración de esta especie, aumentando la concentración del ácido. Calculas las concentraciones de cada especie:

[\ce{CH3COO^-}] = \frac{(9\cdot 10^{-3} - 10^{-3})\ mol}{0.1\ L} = \color[RGB]{0,112,192}{\bf 8\cdot 10^{-2}\ M}

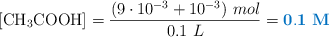
[\ce{CH3COOH}] = \frac{(9\cdot 10^{-3} + 10^{-3})\ mol}{0.1\ L} = \color[RGB]{0,112,192}{\bf 0.1\ M}

Si sustituyes en la ecuación del inicio:

pH = 4.75 + log\ \left(\frac{0.08}{0.1}\right) = \fbox{\color[RGB]{192,0,0}{\bf 4.65}}


Descarga el enunciado y la resolución del problema en formato EDICO si lo necesitas.