Variación de la energía cinética que sufre una pelota al pasar por una ventana (5575)

, por F_y_Q

Una pelota de 0.50 kg cae frente a una ventana que tiene 1.50 m de longitud vertical.

a) ¿Cuánto aumenta la energía cinética de la pelota cuando alcanza el borde inferior de la ventana?

b) Si su rapidez era de 3.0 m/s en la parte superior de la ventana, ¿cuál será la rapidez al pasar por la parte inferior?

P.-S.

a) Al descender los 1.5 m de la altura de la ventana, y suponiendo que no hay rozamiento con el aire, la variación de la energía cinética de la pelota ha de ser igual a la variación de su energía potencial con el signo contrario, es decir:

\color[RGB]{2,112,20}{\bm{\Delta E_C = - \Delta E_P}}

Si reescribes la ecuación anterior en función de la masa y la variación de la altura de la pelota:

\Delta E_C = -m\cdot g\cdot \Delta h = -0.5\ kg\cdot 9.8\ \frac{m}{s^2}\cdot (-1.5\ m) = \fbox{\color[RGB]{192,0,0}{\bf 7.4\ J}}


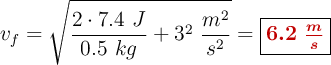
b) Puedes escribir la variación de la energía cinética anterior en función de la masa y de la velocidad de la pelota. Si despejas el valor de la velocidad final:

\Delta E_C = \frac{1}{2}m(v_f^2 - v_i^2)\ \to\ \color[RGB]{2,112,20}{\bm{v_f = \sqrt{\frac{2\Delta E_C}{m} + v_i^2}}}

Sustituyes los valores y calculas:

v_f = \sqrt{\frac{2\cdot 7.4\ J}{0.5\ kg} + 3^2\ \frac{m^2}{s^2}} = \fbox{\color[RGB]{192,0,0}{\bm{6.2\ \frac{m}{s}}}}