Longitud de onda conocida la frecuencia y la velocidad de propagación (5298)

, por F_y_Q

Una onda sonora en el aire tiene una frecuencia de 262 Hz y viaja con rapidez de 343 m/s. ¿Cuál es la separación entre las crestas de la onda?

P.-S.

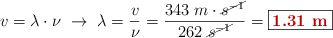
La separación entre las crestas es lo que llamamos longitud de onda. La velocidad de propagación de una onda es igual al producto de la longitud de onda por la frecuencia de la onda. Puedes despejar y sustituir en la ecuación:

v = \lambda \cdot \nu\ \to\ \lambda = \frac{v}{\nu} = \frac{343\ m\cdot \cancel{s^{-1}}}{262\ \cancel{s^{-1}}} = \fbox{\color[RGB]{192,0,0}{\bf 1.31\ m}}}


Descarga el enunciado y la resolución del problema en formato EDICO si lo necesitas.