Radio de un aro por el que se mueve un objeto, sabiendo su velocidad máxima y mínima (5348)

, por F_y_Q

Un móvil de masa «m» se mueve dentro de un aro situado en un plano vertical. En el punto más alto, «A», su velocidad es 4 m/s y en el punto más bajo, «B», su velocidad es 6 m/s. Si se desprecia la fricción entre la pista circular y el móvil, calcula el radio del aro.

Dato: g = 10\ m\cdot s^{-2}

P.-S.

Para hacer el problema, puedes tomar la referencia en el punto más bajo del aro, «B», y aplicar el teorema de la conservación de la energía mecánica. Al tomar la referencia en el punto más bajo, la altura la consideras cero y la energía potencial gravitatoria en ese punto será nula:

E_M(A) = E_M(B)\ \to\ E_P(A) + E_C(A) = \cancelto{0}{E_P(B)} + E_C(B)\ \to\ \color[RGB]{2,112,20}{\bm{E_P(A) + E_C(A) = E_C(B)}}

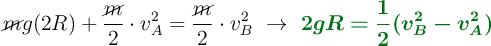
Si reescribes la ecuación anterior en función de la velocidad y la posición del objeto:

\cancel{m}g(2R) + \frac{\cancel{m}}{2}\cdot v_A^2 = \frac{\cancel{m}}{2}\cdot v_B^2\ \to\  \color[RGB]{2,112,20}{\bm{2gR = \frac{1}{2}(v_B^2 - v_A^2)}}

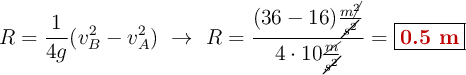
Despejas el valor del radio y sustituyes:

R = \frac{1}{4g}(v_B^2 - v_A^2)\ \to\ R = \frac{(36 - 16)\frac{m\cancel{^2}}{\cancel{s^2}}}{4\cdot 10\frac{\cancel{m}}{\cancel{s^2}}} = \fbox{\color[RGB]{192,0,0}{\bf 0.5\ m}}