Refuerzo: moles contenidos en un volumen de gas (5790)

, por F_y_Q

¿Cuántos moles hay en un recipiente de 2 000 mL, a una presión de 800 mm Hg y una temperatura de 70\ ^oC?

Dato: R = 0.082\ \textstyle{atm\cdot L\over mol\cdot K}

P.-S.

A partir de la ecuación de los gases ideales, puedes obtener los moles de gas:

PV = nRT\ \to\ \color[RGB]{2,112,20}{\bm{n= \frac{PV}{RT}}}

Debes trabajar con las unidades dadas para que coincidan con las unidades de la constante «R» y el problema sea homogéneo:

\left P = 800\ \cancel{\text{mm Hg}}\cdot \frac{1\ atm}{760\ \cancel{\text{mm Hg}}} = \color[RGB]{0,112,192}{\bf 1.05\ atm}

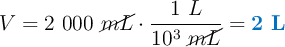
V = 2\ 000\ \cancel{mL}\cdot \frac{1\ L}{10^3\ \cancel{mL}} = \color[RGB]{0,112,192}{\bf 2\ L}

T = 70 + 273 = \color[RGB]{0,112,192}{\bf 343\ K}

Ya puedes hacer el cálculo de los moles:

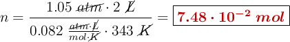
n = \frac{1.05\ \cancel{atm}\cdot 2\ \cancel{L}}{0.082\ \frac{\cancel{atm}\cdot \cancel{L}}{mol\cdot \cancel{K}}\cdot 343\ \cancel{K}} = \fbox{\color[RGB]{192,0,0}{\bm{7.48\cdot 10^{-2}\ mol}}}