P.-S.
La altura inicial de los deportistas se obtiene a partir del dato de la longitud del plano inclinado y el valor del ángulo de inclinación:
b) La energía mecánica en el punto inicial, que llamamos A, es:

La variación de la velocidad que experimenta la deportista por acción de la fuerza F y de su componente "x" del peso se obtiene al hacer el impulso mecánico sobre la fuerza total sobre la deportista durante los 5 s.
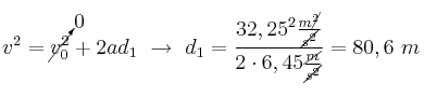
Podemos calcular la aceleración que ha sufrido para calcular qué recorrido ha hecho en la rampa:
Esto quiere decir que le quedan por recorrer 100 - 80,6 = 19,4 m del plano inclinado. La altura a la que se encuentra es, por lo tanto:
Ya podemos calcular
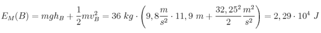
la energía mecánica tras el empuje del deportista, que llamamos B, es:

Como en el plano inclinado no hay rozamiento,
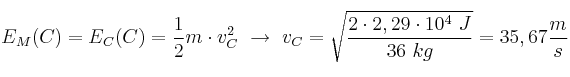
la energía mecánica al final del camino inclinado, que llamamos C, es igual a la que hemos calculado para B:

Al final del recorrido la velocidad de la deportista será cero y estará sobre la horizontal, con lo que su energía mecánica final será nula:
Podemos calcular la distancia que recorre hasta detenerse si tenemos en cuenta que el trabajo de la fuerza de rozamiento en el tramo horizontal tiene que ser igual a la variación de la energía mecánica desde C hasta D:
Sustituimos, tiendo en cuenta que la variación de la energía mecánica coincide con el valor de la energía mecánica en C:
a)
La longitud total del recorrido es la suma de la longitud del camino inclinado y la que acabamos del calcular:

La velocidad que tendrá la deportista en el punto C, cuando llega al final del camino inclinado, se puede obtener a partir del valor de su energía mecánica, que coincide con la cinética:
La aceleración de la deportista en el tramo horizontal se obtiene al considerar la única fuerza que actúa para detenerla, que es la fuerza de rozamiento:
El tiempo de frenado es:
El tiempo total del recorrido lo obtenemos al considerar el tiempo durante el que la deportista es empujada por su compañero:
