Porcentajes en masa y volumen de dos disoluciones de agua y etanol (5841)

, por F_y_Q

Tienes dos recipientes distintos, uno con 100 mL de agua y el otro con 400 mL de agua. Si al primero le agregas 10 mL de etanol y al segundo le agregas 20 mL de etanol, ¿cuál será el porcentaje en masa y en volumen de cada mezcla si sabemos que la densidad del agua es de 1.00\ \textstyle{g\over mL} y la densidad del etanol es de 0.789\ \textstyle{g\over mL}?

P.-S.

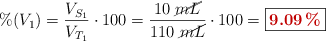
Como los datos que te dan son en volumen, empiezas por calcular el porcentaje en volumen para los dos recipientes (R):

\%(V_1) = \frac{V_{S_1}}{V_{T_1}}\cdot 100 = \frac{10\ \cancel{mL}}{110\ \cancel{mL}}\cdot 100 = \fbox{\color[RGB]{192,0,0}{\bf 9.09\ \%}}


\%(V_2) = \frac{V_{S_2}}{V_{T_2}}\cdot 100 = \frac{20\ \cancel{mL}}{420\ \cancel{mL}}\cdot 100 = \fbox{\color[RGB]{192,0,0}{\bf 4.76\ \%}}


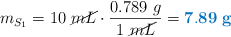
Para hacer los porcentajes en masa es necesario convertir los datos de volumen en masa. Al ser 1.00\ \textstyle{g\over mL} la densidad del agua, las masas de agua son 100 g y 400 g respectivamente. Calculas las masas de etanol:

m_{S_1} = 10\ \cancel{mL}\cdot \frac{0.789\ g}{1\ \cancel{mL}} = \color[RGB]{0,112,192}{\bf 7.89\ g}

m_{S_2} = 20\ \cancel{mL}\cdot \frac{0.789\ g}{1\ \cancel{mL}} = \color[RGB]{0,112,192}{\bf 15.8\ g}

Ahora haces los porcentajes en masa:

\%(m_1) = \frac{m_{S_1}}{m_{T_1}}\cdot 100 = \frac{7.89\ \cancel{g}}{(100 + 7.89)\ \cancel{g}}\cdot 100 = \fbox{\color[RGB]{192,0,0}{\bf 7.31\ \%}}


\%(m_2) = \frac{m_{S_2}}{m_{T_2}}\cdot 100 = \frac{15.8\ \cancel{g}}{(400 + 15.8)\ \cancel{g}}\cdot 100 = \fbox{\color[RGB]{192,0,0}{\bf 3.80\ \%}}