Masa a colocar en una polea para que adquiera una aceleración dada

, por F_y_Q

Dos cuerpos A y B de 5 kg cada uno están sujetos a una cuerda que pasa por una polea. ¿Qué masa debe añadirse a uno de los extremos para que recorra 1 metro en un tiempo de 3 segundos?

P.-S.

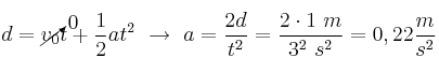
El sistema está en equilibrio inicialmente. Si colocamos una masa x en un extremo el sistema adquiere una aceleración. La aceleración que debe adquirir es:
d = \cancelto{0}{v_0}t + \frac{1}{2}at^2\ \to\ a = \frac{2d}{t^2} = \frac{2\cdot 1\ m}{3^2\ s^2} = 0,22\frac{m}{s^2}
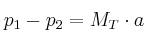
Aplicando la 2ª ley de la dinámica:
p_1 - p_2 = M_T\cdot a
Suponemos que colocamos la masa "extra" sobre el cuerpo 1, quedando la ecuación anterior como:
(m_1 + x)\cdot g - m_2\cdot g = (m_1 + x + m_2)\cdot a
Las masas m_1 y m_2 son iguales a 5 kg cada una. Si sustituimos en la ecuación:
(5 + x - 5)\cdot g = (5 + x + 5)\cdot a\ \to\ x\cdot g = (10 + x)\cdot a
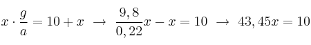
Sustituyendo los valores de las aceleraciones y despejando el valor de "x":
x\cdot \frac{g}{a} = 10 + x\ \to\ \frac{9,8}{0,22}x - x = 10\ \to\ 43,45x = 10
La masa que habrá que colgar es:

m = \frac{10}{43,45} = \bf 0,23\ kg