Calor específico de un cuerpo que se introduce en un calorímetro con agua

, por F_y_Q

Un cuerpo de 200 g que está a una temperatura de 120^oC se introduce dentro de un calorímetro de \pi = 30\ g que contiene 500 g de agua a 15^oC. Si la temperatura de equilibrio resulta de 20^oC, calcula el calor específico del cuerpo.

P.-S.

El calor que cede el cuerpo ha de ser igual al calor que absorben el agua y el calorímetro en el que se desarrolla el experimento. El equivalente de agua del calorímetro lo tratamos como si fuese masa de agua a la misma temperatura que los 500 g que se han introducido. La ecuación nos queda como:
(Q_a + Q_{cal}) - Q_c = 0\ \to\ Q_{a+cal} = Q_m
Reescribimos la ecuación y despejamos el valor del calor específico:
(m_a + m_{cal})\cdot c_e(a)\cdot \Delta T_a = m_c\cdot c_e(m)\cdot \Delta T_c\ \to\ c_e(m) = \frac{(m_a + m_{cal})\cdot c_e(a)\cdot \Delta T_a}{m_c\cdot \Delta T_c}
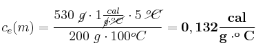
Solo nos queda sustituir y calcular:

c_e(m) = \frac{530\ \cancel{g}\cdot 1\frac{cal}{\cancel{g}\cdot \cancel{^oC}}\cdot 5\ \cancel{^oC}}{200\ g\cdot 100^oC} = \bf 0,132\frac{cal}{g\cdot ^oC}