Distancia total que recorre un automóvil durante la frenada en seco y en mojado (5778)

, por F_y_Q

Un automóvil viaja a 65 \ \textstyle{mi\over h} por un camino recto a nivel cuando el conductor percibe delante una zona de peligro. Después de un tiempo de reacción de 0.5 s aplica los frenos bloqueando las ruedas. El coeficiente de fricción dinámica entre los neumáticos y el camino es 0.6.

a) Determina la distancia total recorrida antes de detenerse, expresada en metros.

b) Si la lluvia disminuye el valor del coeficiente de fricción a 0.4, ¿qué distancia de frenado total recorerrá el automóvil antes de detenerse, expresada en metros?

P.-S.

En primer lugar convierte el dato de la velocidad inicial a unidad SI:

65\ \frac{\cancel{mi}}{\cancel{h}}\cdot \frac{1\ 609\ m}{1\ \cancel{mi}}\cdot \frac{1\ \cancel{h}}{3\ 600\ s} = 29\ \frac{m}{s}

En el intervalo del tiempo de reacción el automóvil sigue un movimiento uniforme y recorre una distancia que es la misma sea en seco o en mojado:

d_1 = v_i\cdot t_r = 29\ \frac{m}{\cancel{s}}\cdot 0.5\ \cancel{s} = \color[RGB]{0,112,192}{\bf 14.5\ m}

a) Calculas ahora la distancia que recorre el automóvil en seco antes de deternerse. La única fuerza que actúa sobre el sistema es la fuerza de rozamiento, por lo que la aceleración del automóvil es:

-F_R = m\cdot a\ \to\ -\mu\cdot \cancel{m}\cdot g = \cancel{m}\cdot a\ \to\ a = - 0.6\cdot 9.8\ \frac{m}{s^2} = \color[RGB]{2,112,20}{\bm{-5.88\ \frac{m}{s^2}}}

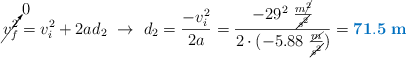
La distancia de frenado es:

\cancelto{0}{v_f^2} = v_i^2 + 2ad_2\ \to\ d_2 = \frac{-v_i^2}{2a} = \frac{-29^2\ \frac{m\cancel{^2}}{\cancel{s^2}}}{2\cdot (-5.88\ \frac{\cancel{m}}{\cancel{s^2}})} = \color[RGB]{0,112,192}{\bf 71.5\ m}

La distancia total es:

d_T = (14.5 + 71.5)\ m = \fbox{\color[RGB]{192,0,0}{\bf 86\ m}}


b) Ahora el valor del coeficiente de rozamiento es menor y la aceleración de frenado varía:

-F_R = m\cdot a\ \to\ -\mu\cdot \cancel{m}\cdot g = \cancel{m}\cdot a\ \to\ a = - 0.4\cdot 9.8\ \frac{m}{s^2} = \color[RGB]{2,112,20}{\bm{-3.92\ \frac{m}{s^2}}}

Al ser menor la aceleración de frenado, será mayor la distancia:

d_3 = \frac{-v_i^2}{2a} = \frac{-29^2\ \frac{m\cancel{^2}}{\cancel{s^2}}}{2\cdot (-3.92\ \frac{\cancel{m}}{\cancel{s^2}})} = \color[RGB]{0,112,192}{\bf 107.3\ m}

La distancia total en mojado es:

d_T = (14.5 + 107.3)\ m = \fbox{\color[RGB]{192,0,0}{\bf 121.8\ m}}