Temperatura de congelación de una disolución de NaCl

, por F_y_Q

Un recipiente contiene 500 mL de una solución 0,5 M de NaCl a 1 atm.

a) Determina la temperatura de congelación de la solución.

b) Si ahora se pretende preparar 500 mL de una solución acuosa de CaCl_2 que presente la misma temperatura de congelación. ¿Qué cantidad de CaCl_2 se debe agregar para preparar dicha solución?

Datos: NaCl = 58,44\ \textstyle{g\over mol} ; CaCl_2 = 110,98\ \textstyle{g\over mol} ; k_c(H_2O) = 1,86\ \textstyle{^oC\cdot kg\over mol}.

Nota: Supón soluciones diluídas e ideales en todo momento y electrolitos totalmente disociados, así como que las densidades de las soluciones son 1\ \textstyle{g\over mL}

P.-S.

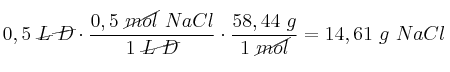
a) La disolución contiene 0,5 mol de NaCl por cada litro de disolución, luego la masa de NaCl en la disolución es:
0,5\ \cancel{L\ D}\cdot \frac{0,5\ \cancel{mol}\ NaCl}{1\ \cancel{L\ D}}\cdot \frac{58,44\ g}{1\ \cancel{mol}} = 14,61\ g\ NaCl
Como la disolución tiene una masa de 500 g, dado que suponemos que la densidad es 1\ \textstyle{g\over mL}, la masa de agua es:
m_{H_2O} = (500 - 14,61)\ g = 485,39\ g
La molalidad de la disolución es:
m = \frac{mol\ NaCl}{kg\ H_2O} = \frac{0,25\ mol}{0,485\ kg} = 0,515\ \frac{mol}{kg}
Aplicamos la ecuación de Raoult, considerando que el factor de Van’t Hoff es 2 para el NaCl porque se disocia en dos iones:

\Delta T_c = i\cdot k_f(H_2O)\cdot m\ \to\ \Delta T_f = 2\cdot 1,86\frac{^oC\cdot \cancel{kg}}{\cancel{mol}}\cdot 0,515\frac{\cancel{mol}}{\cancel{kg}} = \bf 1,92\ ^oC

Esto quiere decir que la temperatura a la que se congela la disolución es \bf - 1,92\ ^oC.
b) Ahora determinamos la molalidad necesaria de la disolución de CaCl_2 para que el descenso crioscópico sea el mismo:
\Delta T = i\cdot k_c\cdot m_{CaCl_2}\ \to\ m_{CaCl_2} = \frac{\Delta T}{i\cdot k_c}
En este caso, el factor de Van’t Hoff es 3 porque el \bf CaCl_2 se disocia dando lugar a tres iones:
m = \frac{1,92\ \cancel{^oC}}{3\cdot 1,86\frac{\cancel{^oC}\cdot kg}{mol}} = 0,344\frac{mol}{kg}
Esta molalidad son los moles de CaCl_2 que deben contener los 500 mL de la disolución, pero no se debe olvidar que los kilogramos del denominador hacen referencia a la masa de agua en la disolución, que es la diferencia entre la masa de la disolución y la del soluto. Podemos escribir la molalidad, en función de los moles de soluto, como:
m_D = \frac{x}{(500 - 110,98x)\cdot \frac{1\ kg}{10^3\ g}} Despejamos el valor de "x", que representa los moles de CaCl_2 en la disolución:
3,44\cdot 10^{-4}(500 - 110,98x) = x
0,172 - 3,82\cdot 10^{-2}x = x\ \to\ x = \frac{0,172}{1,04} = 0,165\ mol\ CaCl_2
Convertimos los moles de CaCl_2 en masa:

0,165\ \cancel{mol}\ CaCl_2\cdot \frac{110,98\ g}{1\ \cancel{mol}} = \bf 18,31\ g\ CaCl_2